FUNCIONES TRIGONOMÉTRICAS

SIGNOS DE LAS FUNCIONES TRIGONOMÉTRICAS EN EL PLANO CARTESIANO

VALORES DE LAS FUNCIONES TRIGONOMÉTRICAS DE LOS ÁNGULOS 0,90,180,270, Y 360

VALORES DE LOS ÁNGULOS 30, 45, Y 60




Identidades trigonométricas de suma y resta

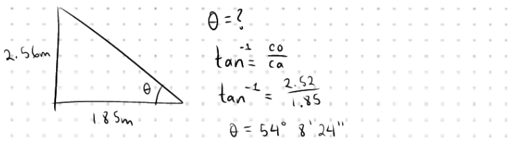
Triángulos rectángulos

Triángulos oblicuángulos

Operaciones con números complejos


