TRIÁNGULOS
CLASIFICACIONES DE LOS TRIÁNGULOS
RECTAS Y PUNTOS NOTABLES

TEOREMAS IMPORTANTES
La suma de los ángulos interiores de un triángulo es igual a 180°.
Un ángulo exterior de un triángulo es igual a la suma de los 2 interiores no adyacentes a él.
La suma de los ángulos exteriores de un triángulo es igual a 360°.

TEOREMA DE TALES

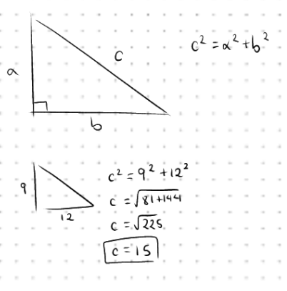
TEOREMA DE PITÁGORAS


