Conocimiento Instituto Tesla

Menu

  • Log In C
  • Log Out C
  • Perfil
TPL_FOLLOW_US
Facebook
Instagram
Conocimiento Instituto Tesla
  • Semestres
    • 1er Semestre
      • Lengua y Comunicación I
      • Ética I
      • Ciencias Sociales I
      • Química I
      • Matemáticas I
      • Cultura Digital I
      • Metodología
    • 2do Semestre
      • Química II
      • Matemáticas II
      • Ética II
      • Lengua y Comunicación II
      • Ciencias Sociales II
      • Cultura Digital II
        • C++
        • HTML
    • 3er Semestre
      • Taller de Ciencias II
      • Biología I
      • Matemáticas III
      • Física I
      • Literatura I
      • Historia de México I
      • Etimologías
      • Francés I
    • 4to Semestre
      • Física II
      • Biología II
      • Literatura II
      • Historia Universal Antigua
      • Historia de Mexico II
      • Matemáticas IV
    • 5to Semestre
      • Geografía
      • Cálculo
      • Seminario Cultura Regional
      • Fisica Pre Universitaria
      • Probabilidad y Estadística
      • Estructura Socioeconómica de México
      • Salud I
      • Psicologia
    • 6to Semestre
      • Ecologia
  • Noticias Tesla
  • Extras
    • ¿Quiénes somos?
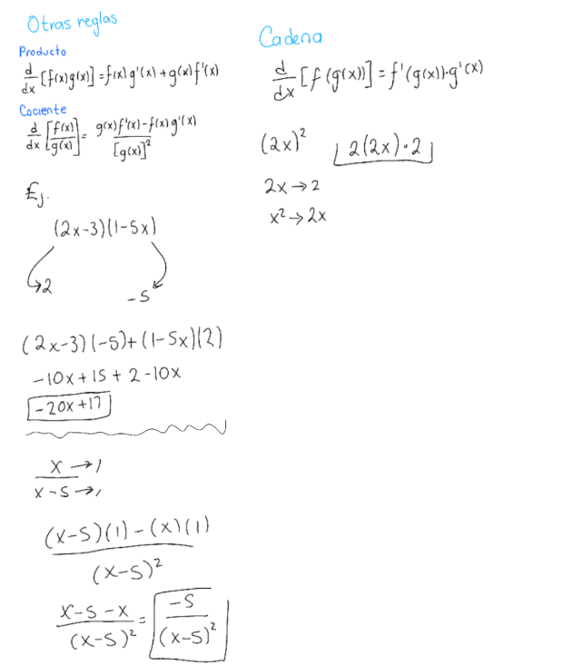
Cálculo I

Asíntotas y reglas de la derivación

Details
Nuria Islava By Nuria Islava
Nuria Islava
December 24, 2025
Hits: 45

Previous article: Ejercicios Limites Prev
Share article:
Author's latest articles
Intro Image
Inglés I

Unit 1 Grammar

March 5, 2025
56
Intro Image
Biología I

Introducción a la biología y características de los seres vivos

March 5, 2025
136


Buscando el cambio mediante la educación.

Una comunidad del Instituto Tesla

Copyright © 2026 Conocimiento Instituto Tesla. All Rights Reserved.
Joomla! is Free Software released under the GNU General Public License.