×
Menu
Log In C
Log Out C
Perfil
TPL_FOLLOW_US
Facebook
Instagram
Semestres
1er Semestre
Inglés I
Lengua y Comunicación I
Ética I
Ciencias Sociales I
Química I
Matemáticas I
Cultura Digital I
Metodología
2do Semestre
Química II
Taller de Ciencias I
Matemáticas II
Ética II
Lengua y Comunicación II
Ciencias Sociales II
Ingles II
Cultura Digital II
3er Semestre
Taller de Ciencias II
Biología I
Matemáticas III
Física I
Inglés III
Literatura I
Historia de México I
Etimologías
Francés I
4to Semestre
Física II
Biología II
Literatura II
Historia Universal Antigua
Historia de Mexico II
5to Semestre
Geografía
Cálculo
Seminario Cultura Regional
Fisica Pre Universitaria
Probabilidad y Estadística
Estructura Socioeconómica de México
6to Semestre
Noticias Tesla
Convocatorias
Comunidades
Extras
¿Quiénes somos?
Search
Cálculo I
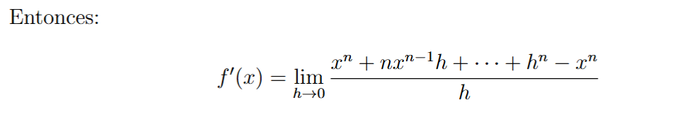
Regla del Exponente
Details
By
Hiram Martinez
Hiram Martinez
April 30, 2025
Hits: 29
Previous article: Introduccion a las derivadas
Prev
Next article: Derivadas Elementales
Next
Author's latest articles
Cálculo I
Introducción a las derivadas
March 26, 2025
52
Cálculo I
Limites
April 2, 2025
56