Tema 1: Sucesiones y series
Definición de variables
-
n: Representa la posición del término con el que estamos trabajando.
-
an: Representa el valor del término en la posición correspondiente. También se conoce como el “enésimo término”.
-
d: Representa la diferencia entre los términos en las sucesiones aritméticas.
-
r: Representa la razón entre los términos en las sucesiones geométricas.
Sucesiones
Una sucesión es un conjunto ordenado de números, donde cada número tiene una posición específica. Estos números se llaman términos de la sucesión.
Existen diversos tipos de sucesiones, entre ellas las aritméticas y las geométricas.
Sucesión aritmética
Es una sucesión en la que la diferencia de los términos consecutivos es constante.
Fórmula general: ![]()
Ejemplo:
2, 5, 8, 11, 14,…
En esta sucesión el primer término es 2, y la diferencia común es 3, esto debido a que al restar términos consecutivos se obtiene siempre el mismo resultado.
Si queremos obtener el término 8 hacemos: ![]()
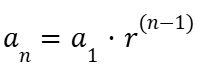
Sucesión geométrica
Es una sucesión en la que la división entre términos consecutivos es constante, denominada razón.
Fórmula general: ![]()
Ejemplo: 3, 6, 12, 24, 48,…
En esta sucesión el primer término es 3 y la razón común es 2, esto debido a que al dividir términos consecutivos se obtiene siempre el mismo resultado.
Si queremos obtener el término 8 hacemos: ![]()
Series
Una serie es la suma de un conjunto de términos de una sucesión. Si tienes una secuencia de números, al sumarlos obtienes una serie.
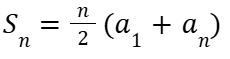
Series aritméticas
Es la suma de los términos de una sucesión aritmética, donde cada término se obtiene sumando una constante al anterior.
Fórmula general:![]()
Ejemplo: 2, 5, 8, 11, 14,…
Si queremos obtener la serie de los primeros 8 términos hacemos:![]()
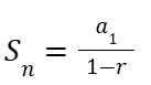
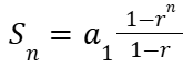
Series geométricas
Es la suma de los términos de una sucesión geométrica, donde cada término se obtiene multiplicando el anterior por una constante llamada razón.
Si r > 1
Fórmula general: ![]()
Ejemplo: 1, 2, 4, 8, 16,…
Si queremos obtener la serie de los primeros ocho términos hacemos: ![]()
Si r < 1
Fórmula general:![]()
Ejemplo: 16, 8, 4, 2, 1,…
Si queremos obtener la serie de los primeros ocho términos hacemos: ![]()
