Variables
LI: Los límites inferiores de clase son los datos más pequeños que pueden pertenecer a las diferentes clases.
LS: Los límites superiores son los datos más grandes que pueden pertenecer a las diferentes clases.
C: La amplitud de clase es la diferencia entre las fronteras superior e inferior.
K: El número de clases es el número de clases que debemos establecer en base a la cantidad de muestra.
M: La marca de clase es el valor medio del intervalo de clase.
F: Frecuencia de clase acumulada
Construcción de una distribución de frecuencias
1. Decidir el número de clases: ![]()
2. Calcular amplitud de clase: ![]()
3. Formar los intervalos de clase:
- Primer LI = Dato menor
- Siguiente LI = LI anterior + C
- LS = Siguiente LI - 1
4. Calcular la marca de clase y frecuencias: ![]()
Medidas de tendencia central
1. Para datos no agrupados:
Media = ![]()
Mediana = Dato del centro
Moda = Dato con mas frecuencia
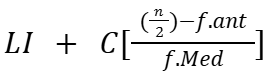
2. Para datos agrupados
Media =![]()
Mediana = ![]()
Moda = 
Medidas de dispersión
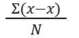
1. Para datos no agrupados
Rango = Dato mayor - Dato menor
Desviación media =![]()
Varianza =
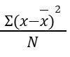
Desviación estándar =![]()
2. Para datos agrupados
Varianza = ![]()
Desviación estándar = (Colocar notación)![]()
Probabilidad de eventos compuestos
Eventos Mutuamente Excluyentes: la ocurrencia de uno imposibilita la ocurrencia del otro
Eventos Complementarios: el que no ocurra un evento garantiza la ocurrencia del otro
Eventos Independientes: el que ocurra uno de ellos no afecta la probabilidad de que se presente el otro
Fórmulas:
No ME: ![]()
ME: ![]()
Complementarios: ![]()
Independientes: ![]()
Dependientes: ![]()
Ejemplos:
- Al sacar una carta de una baraja, ¿cuál es la probabilidad de sacar una figura (J, Q, K) o un diamante?

- Una bolsa contiene 8 bolas verdes, 15 rojas y 7 negras. Si se extrae una, ¿cuál es la probabilidad de que sea verde o negra?

- Calcule la probabilidad de que al lanzar un dado se obtenga 4 y de que al lanzar una moneda caiga águila.

- Calcule la probabilidad de sacar de una baraja un rey y luego un as.

